A sophisticated machine learning system designed to forecast boxing match outcomes with high precision. The project leverages both deep learning architectures (Multi-Layer Perceptron - MLP) and state-of-the-art gradient boosting techniques (LightGBM) to analyze comprehensive boxer statistics and historical match data. The system employs robust validation methods including k-fold cross-validation to ensure reliable and generalizable predictions.
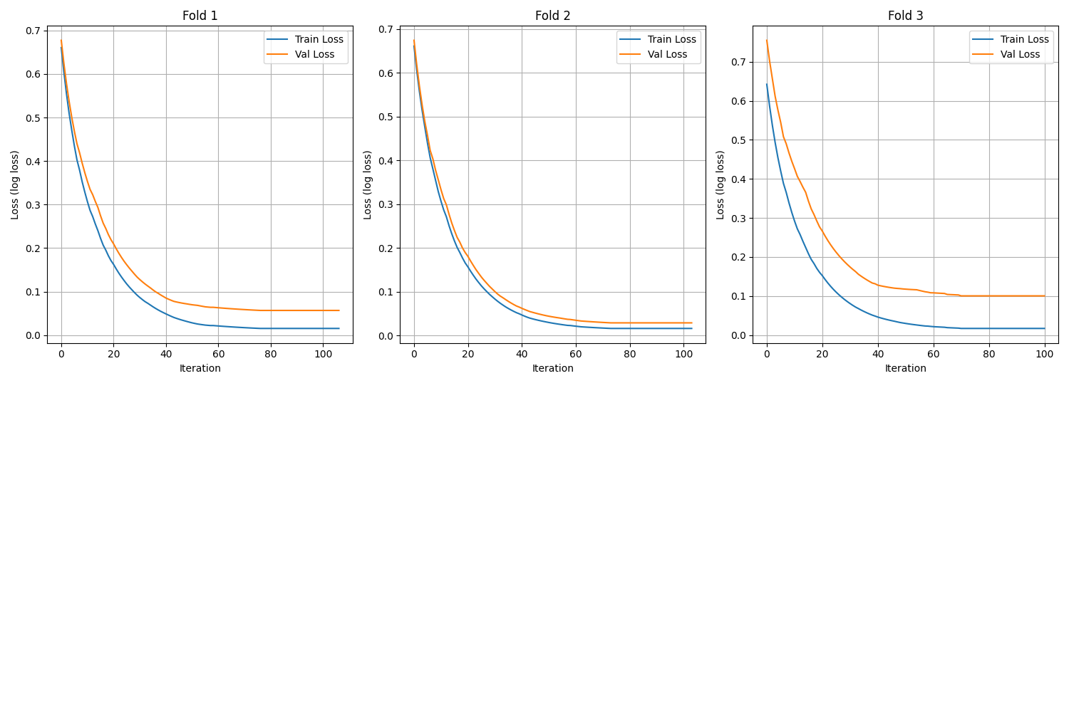
The system combines neural networks and gradient boosting for optimal performance, implementing 5-fold stratified cross-validation for robust model evaluation. It processes extensive boxer statistics and historical match data through a flexible inference system that supports multiple model types and custom data inputs, complete with detailed performance metrics and training progress visualization.
- Source Codehttps://github.com/axortiz/DL_Final_Project
- Technology StackPyTorch, LightGBM, NumPy, Pandas, Scikit-learn, Matplotlib
- Key Features
- Dual Model Architecture: Combining neural networks and gradient boosting for enhanced prediction accuracy
- Advanced Validation: Implementing 5-fold stratified cross-validation for robust model evaluation
- Data Analysis: Processing comprehensive boxer statistics and historical match data for accurate predictions
- Flexible Inference: Supporting multiple model types with custom data inputs and configurable parameters
- Rich Visualization: Detailed performance metrics and training progress visualization tools
- Technical Achievements
- Data Pipeline: Automated normalization and preprocessing for efficient data handling
- Training Optimization: Dynamic learning rate adjustment with adaptive scheduling
- Model Management: Sophisticated checkpoint system for optimal model preservation
- Performance: GPU-accelerated training with LightGBM for high-speed processing
- Robustness: Advanced regularization techniques for reliable predictions
Model Architecture

Neural Network Architecture

Training and Validation Accuracy Over Time

Training and Validation Loss Curves

5-Fold Cross-Validation Performance
